• Помогите решить
    Полностью решение!

    question img

Ответы 1

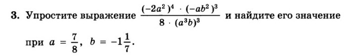
  • 16а^8 ×(-а^3в^6) -16а^11в^6=------------------------ = ----------------- 8 (а^9в^3) 8а^9в^3=-2а^2в^3
    • Автор:

      schaefer
    • 6 лет назад
    • 0
  • Добавить свой ответ

Войти через Google

или

Забыли пароль?

У меня нет аккаунта, я хочу Зарегистрироваться

How much to ban the user?
1 hour 1 day 100 years