• Помогите пожалуйста решить примеры,заранее вам большое спасибо!!!))))))))

    question img

Ответы 1

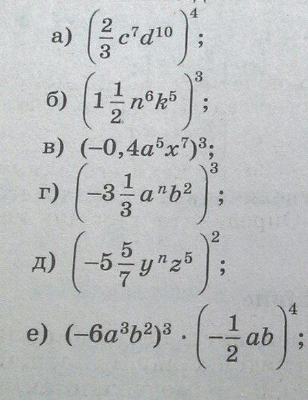
  • (2/3с⁷d¹⁰)⁴=2⁴/3⁴c⁷ˣ⁴d¹⁰ˣ⁴=16/81c²⁸d⁴⁰(1 1/2n⁶k⁵)³=(3/2n⁶k⁵)³=3³/2³n⁶ˣ³k⁵ˣ³=27/8n¹⁸k¹⁵=3 3/8n¹⁸k¹⁵(-0.4a⁵x⁷)³=-0.4³a⁵ˣ³x⁷ˣ³=-0.064a¹⁵x²¹(-3 1/3aⁿb²)³=(-10/3aⁿb²)³=-10³/3³aⁿˣ³b²ˣ³=-1000/27a³ⁿb⁶=-37 1/27a³ⁿb⁶(-5 5/7yⁿz⁵)²=(-40/7yⁿz⁵)²=-40²/7²yⁿˣ²z⁵ˣ²=1600/49y²ⁿz¹⁰=32 32/49y²ⁿz¹⁰(-6a³b²)³*(-1/2ab)⁴=-6³a³ˣ³b²ˣ³*(-1)⁴/2⁴a⁴b⁴=-216a⁹b⁶*1/16a⁴b⁴=-216/16a⁹⁺⁴b⁶⁺⁴=-13 1/2a¹³b¹⁰
    • Автор:

      flower51
    • 6 лет назад
    • 0
  • Добавить свой ответ

Войти через Google

или

Забыли пароль?

У меня нет аккаунта, я хочу Зарегистрироваться

How much to ban the user?
1 hour 1 day 100 years