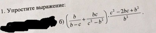
• Подскажите общий знаменатель в скобках какой будет.

    question img

Ответы 5

  • Там b-c и c^2-b^2
  • то что я написала,это и есть с^2-b^2
  • надо только к первую дробь умножить на b+c
  • Выносим минус имеется в виду
  • (b-c)(b+c)................
  • Добавить свой ответ

Войти через Google

или

Забыли пароль?

У меня нет аккаунта, я хочу Зарегистрироваться

How much to ban the user?
1 hour 1 day 100 years