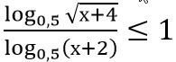
• Один логарифм на фото. (Переносить нижний логарифм в правую часть нельзя, нужно идти путем представления единицы как логарифма).

    question img

Ответы 3

  • Спасибо!
    • Автор:

      omariwshs
    • 6 лет назад
    • 0
  • А откуда появилось выражение: log(x+2) корень из x+4 ?
    • Автор:

      daisycxtr
    • 6 лет назад
    • 0
  • Решение смотри на фото
    answer img
    • Автор:

      holden265
    • 6 лет назад
    • 0
  • Добавить свой ответ

Еще вопросы

Войти через Google

или

Забыли пароль?

У меня нет аккаунта, я хочу Зарегистрироваться

How much to ban the user?
1 hour 1 day 100 years