• Упростите выражение:
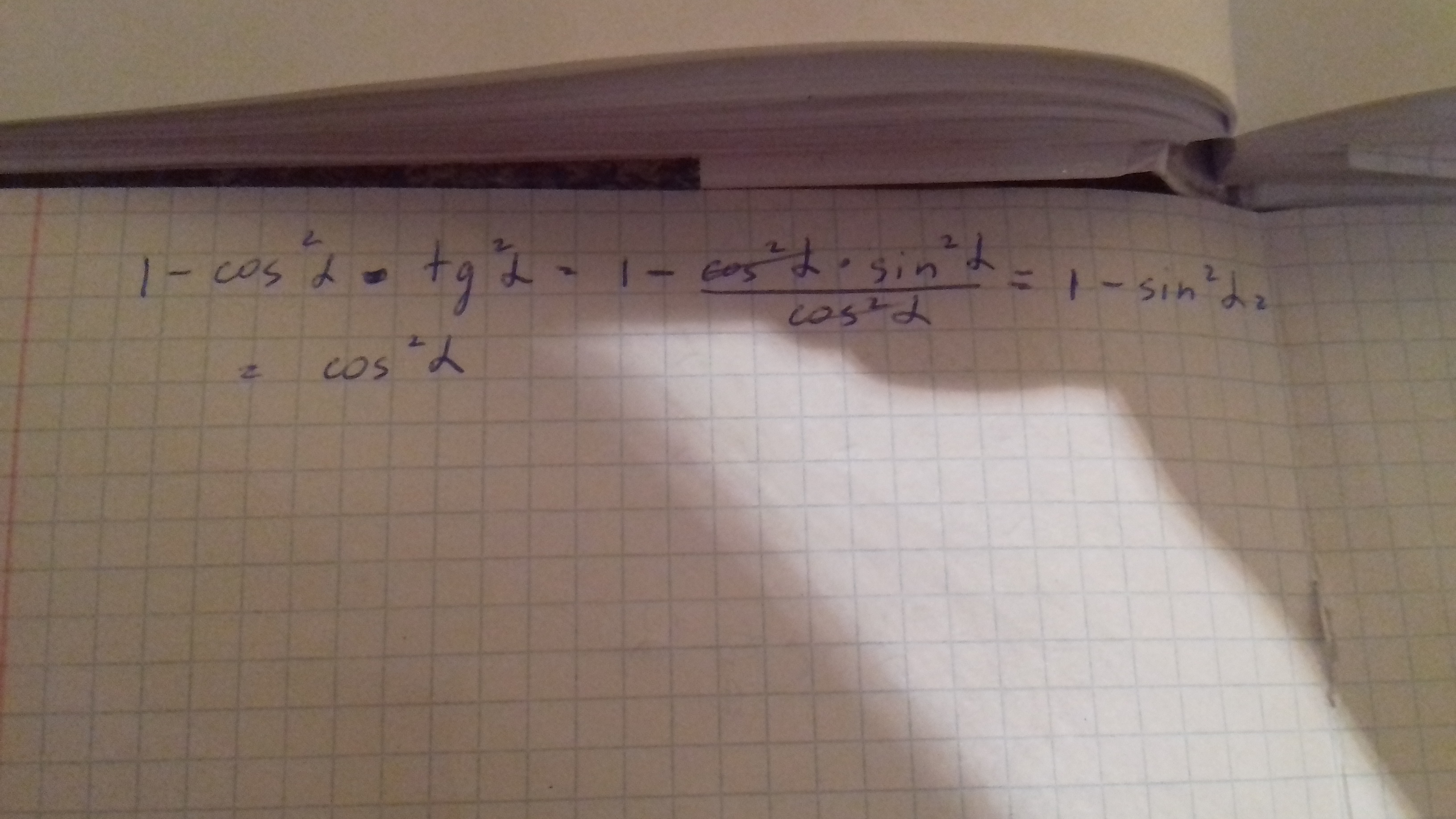
    1 - cos^2a * tg^2a

Ответы 1

  • 1-(cos^2a*sin^2a)/cos^2a=1-sin^2a=cos^2a
    answer img
  • Добавить свой ответ

Войти через Google

или

Забыли пароль?

У меня нет аккаунта, я хочу Зарегистрироваться

How much to ban the user?
1 hour 1 day 100 years