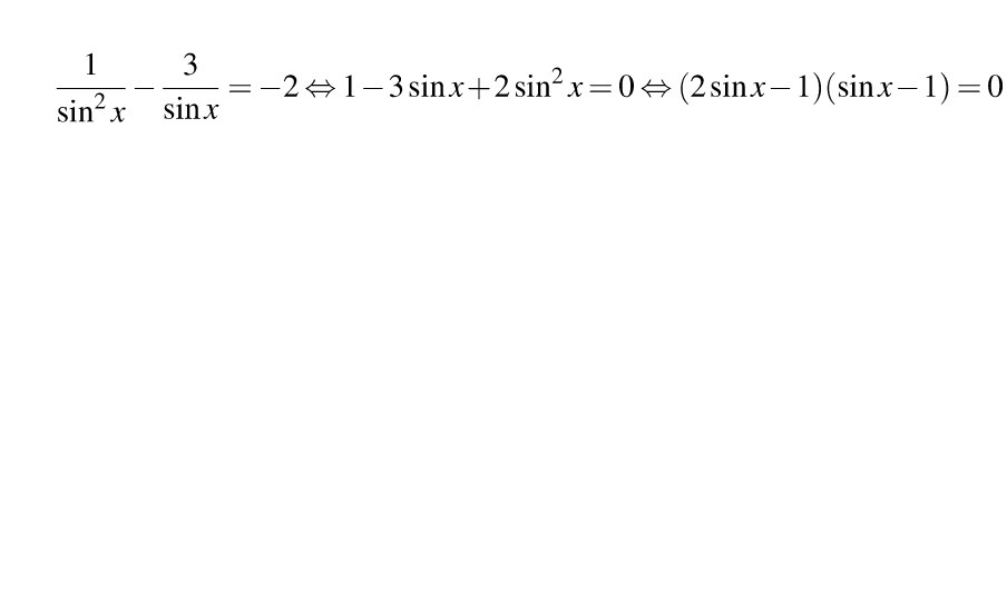
• Кто нибудь может объяснить как в конце сгруппировали?

    question img

Ответы 1

  • 1-3sin(x)+2sin^2(x) = 2sin^2(x)-2sin(x)-sin(x)+1=2sin(x)\cdot(sin(x)-1) - (sin(x)-1) = (2sin(x)-1)(sin(x) - 1)
  • Добавить свой ответ

Войти через Google

или

Забыли пароль?

У меня нет аккаунта, я хочу Зарегистрироваться

How much to ban the user?
1 hour 1 day 100 years