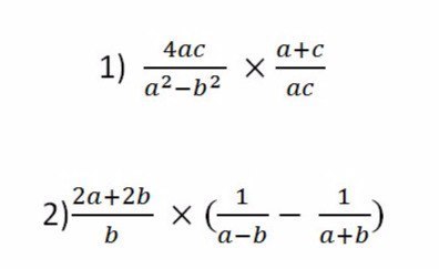
• Решите, пожалуйста, задания. И, напишите, пожалуйста, решение.

    question img

Ответы 1

  • 1) 4(a+c)/ (a^2 - b^2)2) 4/ (a -b)
    answer img
    • Автор:

      gretchen
    • 6 лет назад
    • 0
  • Добавить свой ответ

Еще вопросы

Войти через Google

или

Забыли пароль?

У меня нет аккаунта, я хочу Зарегистрироваться

How much to ban the user?
1 hour 1 day 100 years