• Помогите пожалуйста решить 2 примера)
    Пожалуйста)
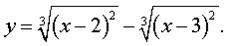
    Задание такое:
    1. Найти область определения;
    2. Найти точки пересечения с осью Ох;
    3. Найти точки пересечения с осью Оу;

    question img
    question img

Ответы 1

  • 1) Функция определена  на всей числовой прямой      Точки пересечения с осью ОX (y=0) - нет таких точек, потому, что      \sqrt[3]{(x-2)^{2} }  eq   \sqrt[3]{(x-3)^{2} } при любых х    Точки пересечения с осью ОY (x=0)     y(0)= \sqrt[3]{4}- \sqrt[3]{9}  2) Функция определена  на всей числовой прямой   Точки пересечения с осью ОX (y=0) - нет таких точек, потому что e в  любой степени будет >0    Точки пересечения с осью ОY (x=0)    y(0)=e^{- \sqrt{2}*0} =1
    • Автор:

      skeeter
    • 6 лет назад
    • 0
  • Добавить свой ответ

Войти через Google

или

Забыли пароль?

У меня нет аккаунта, я хочу Зарегистрироваться

How much to ban the user?
1 hour 1 day 100 years