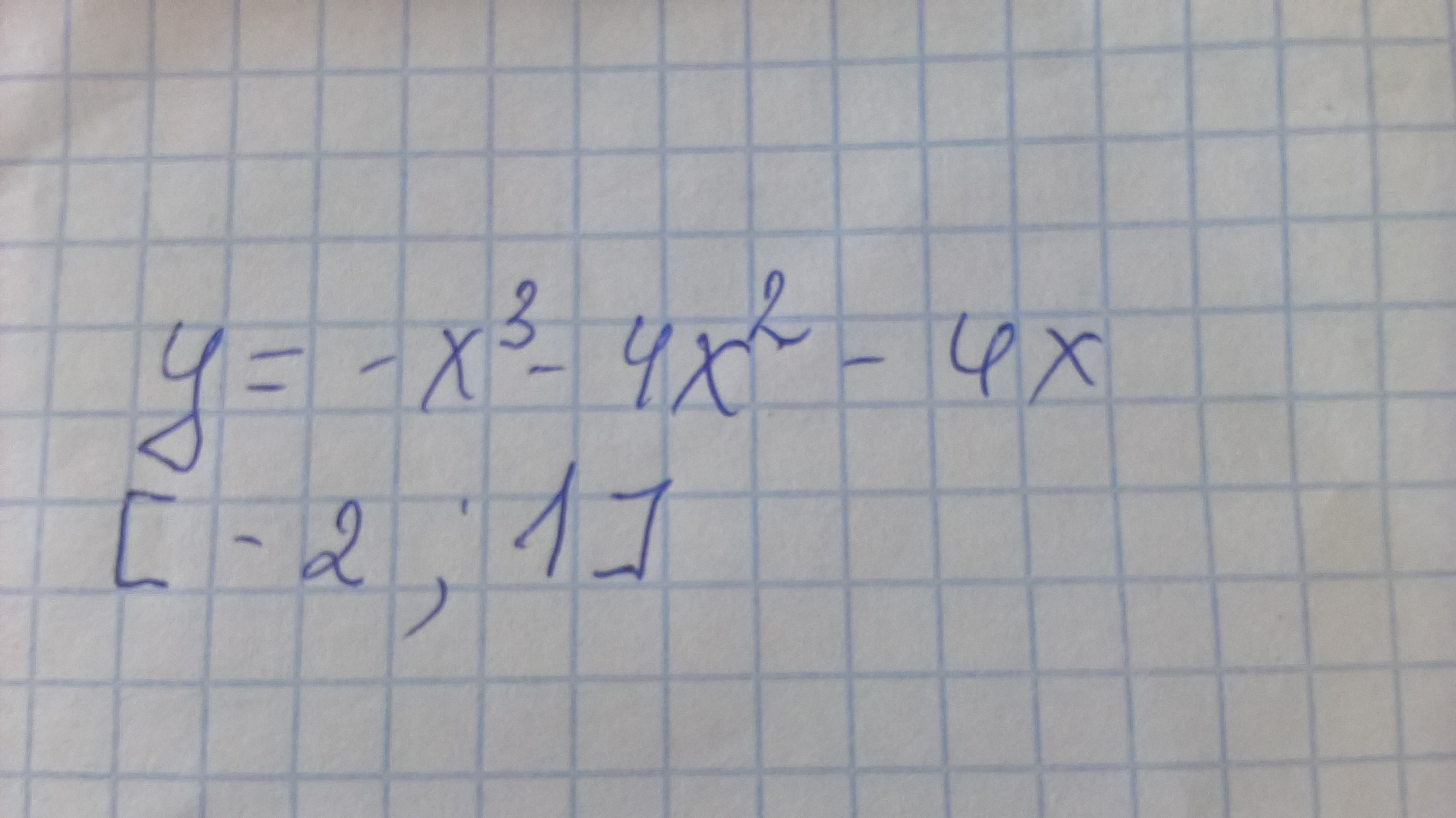
• Исследовать и построить график функций. Помогите пожалуйста.•_•

    question img

Ответы 1

  • График на фото. Исследование функции: 1. Область определения функции - все действительные числа.2. Функция ни четная, ни нечетная3. Не периодическая 
    answer img
    • Автор:

      arturo
    • 6 лет назад
    • 0
  • Добавить свой ответ

Еще вопросы

Войти через Google

или

Забыли пароль?

У меня нет аккаунта, я хочу Зарегистрироваться

How much to ban the user?
1 hour 1 day 100 years