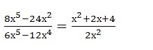
• До­ка­зать тож­де­ство и ука­зать до­пу­сти­мые зна­че­ния пе­ре­мен­ных:

    question img

Ответы 1

  • Данное выражение не может быть тождеством.
    answer img
    • Автор:

      nora46
    • 5 лет назад
    • 0
  • Добавить свой ответ

Войти через Google

или

Забыли пароль?

У меня нет аккаунта, я хочу Зарегистрироваться

How much to ban the user?
1 hour 1 day 100 years