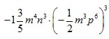
• Перетворіть вираз [tex]-1 \frac{3}{5} m^{4} n^{3}* (- \frac{1}{2} m^{3} p^{6})^{3} [/tex] в одночлен стандартного вигляду

    question img

Ответы 6

  • 1/5= 0,2
  • Множители нужно писать в порядке возрастания.
    • Автор:

      daxwqf4
    • 6 лет назад
    • 0
  • А вот это точно необязательно. Что, хотите у меня ошибку найти?
    • Автор:

      schneider
    • 6 лет назад
    • 0
  • Вот видишь, у меня стоит зелёная галочка, а значит, что не важен порядок степеней.
  • - 1 \dfrac{3}{5} m^4n^3 \cdot \bigg  (-\dfrac{1}{2} m^3 p^6 \bigg )^3 = - \dfrac{8}{5} m^4 n^3 \cdot \bigg (  -\dfrac{1}{8} m^9 p^{18} \bigg ) = \\ \\
 \dfrac{8}{5 \cdot 8} m^{13} n^3 p^{18} =   \dfrac{1}{5} n^3 m^{13} p^{18}
    answer img
  • Ответы смотри внизу!!!!
    answer img
    • Автор:

      richard43
    • 6 лет назад
    • 0
  • Добавить свой ответ

Войти через Google

или

Забыли пароль?

У меня нет аккаунта, я хочу Зарегистрироваться

How much to ban the user?
1 hour 1 day 100 years