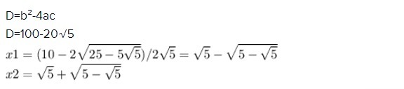
• Как тут сократили (10-2√(25-5√5))/2√5 до √5-√(5-√5)

    question img

Ответы 2

  • 5-√(5(5-√5))/√5=5-√5 (5-√5)/√5 чем у вас эти 2 записи отличаются?
    • Автор:

      lilianna
    • 5 лет назад
    • 0
  • (10-2√(25-5√5))/2√5=выношу за скобку 2 в числителе 2(5-√(25-5√5))/2√5=уничтожаем двойки и выносим в корне 55-√(25-5√5)/√5=5-√(5(5-√5))/√5=5-√5 (5-√5)/√5=выносим в числители √5 за скобку√5(√5-√5-√5)/√5=уничтожаем √5(√5-√5-√5)надеюсь понятно
  • Добавить свой ответ

Войти через Google

или

Забыли пароль?

У меня нет аккаунта, я хочу Зарегистрироваться

How much to ban the user?
1 hour 1 day 100 years