• решить с объяснениями уравнение, все таки не 5 баллов.

    question img

Ответы 5

  • форма записи ответа не на 50 баллов)
  • могу в рамочку обвести, тогда будет на 50 баллов?
    • Автор:

      abelardo
    • 6 лет назад
    • 0
  • не знаю
    • Автор:

      brookteqf
    • 6 лет назад
    • 0
  • :))))))))))))))))))))))))))))))))
    answer img
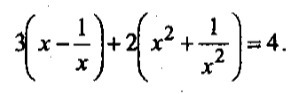
  • делаем замену:y=(x-(1/x))тогда:y^2=x^2-2+(1/x^2)y^2+2=x^2+(1/x^2)подставляем в уравнение:3y+2(y^2+2)=43y+2y^2+4=42y^2+3y=0y(2y+3)=0y=0 или 2y+3=0; 2y=-3; y=-1,5делаем обратную замену:x-(1/x)=0умножаем на x при этом x не равен 0:x^2-1=0x^2=1x1=1;x2=-1x-(1/x)=-1,5x^2+1,5x-1=0, при этом x не равен 0D=1,5^2+4=6,25=2,5^2x1=(-1,5+2,5)/2=1/2=0,5x2=-4/2=-2Ответ: x1=1; x2=-1; x3=0,5; x4=-2
    answer img
  • Добавить свой ответ

Войти через Google

или

Забыли пароль?

У меня нет аккаунта, я хочу Зарегистрироваться

How much to ban the user?
1 hour 1 day 100 years