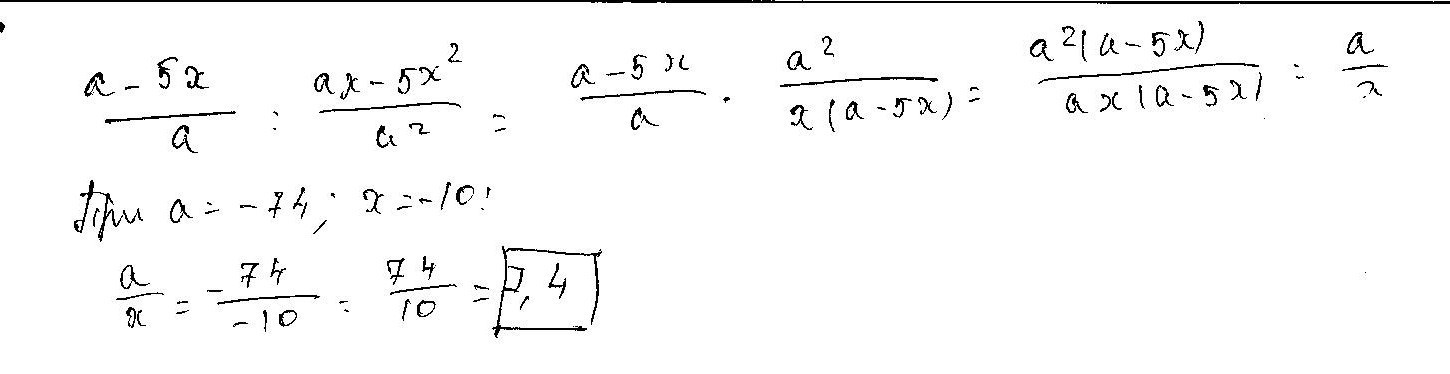
• Найдите значение выражения
    a-5х/а:ах-5х^2/а^2 при а=-74,х=-10

Ответы 1

  • :))))))))))))))))))))))))))))))
    answer img
    • Автор:

      mitzio8nf
    • 2 года назад
    • 5
  • Добавить свой ответ

Еще вопросы

Войти через Google

или

Забыли пароль?

У меня нет аккаунта, я хочу Зарегистрироваться

How much to ban the user?
1 hour 1 day 100 years