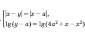
• 100 баллов + лучший ответ! Решить систему в зависимости от значений параметра а:

    question img

Ответы 2

  • Спасибо огромное!
    • Автор:

      dharma
    • 6 лет назад
    • 0
  • Решение прицеплено в картинке.
    answer img
  • Добавить свой ответ

Войти через Google

или

Забыли пароль?

У меня нет аккаунта, я хочу Зарегистрироваться

How much to ban the user?
1 hour 1 day 100 years