• ПОМОГИТЕ ПОЖАЛУЙСТА РЕШИТЬ НОМЕР В АЛГЕБРЕ)

    ОЧЕНЬ СРОЧНО!
    ЗАРАНЕЕ БОЛЬШУЩЕЕ СПАСИБО! <3

    question img

Ответы 1

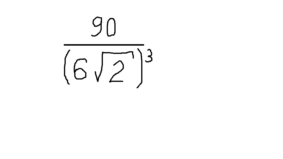
  • 3*3*2*5 : (3*3*3*2*2*2*2*sqrt(2)) = 5 : (3*8*sqrt(2))Ответ: 5/(24*корень(2))
    • Автор:

      roxie35
    • 6 лет назад
    • 0
  • Добавить свой ответ

Еще вопросы

Войти через Google

или

Забыли пароль?

У меня нет аккаунта, я хочу Зарегистрироваться

How much to ban the user?
1 hour 1 day 100 years