• Помогите решить уравнение с параметром !!!Очень срочно нужно.Спасибо.Даю 15 баллов

    question img

Ответы 1

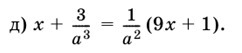
  • x+ \frac{3}{ a^{3} } = \frac{1}{ a^{2} } (9x+1)  \frac{a^{3}x+3 }{ a^{3} }= \frac{9x+1}{ a^{2} }     (a^{3}x+3)* a^{2} =a^{3}*(9x+1)  Сократив на а², получим: a^{3}x+3=9ax+a a^{3}x-9ax=a-3  ax*( a^{2} -9)=a-3
 x= \frac{a-3}{a*( a^{2}-9) }= \frac{a-3}{a*(a-3)(a+3)} = \frac{1}{a*(a+3)}   Ответ: x= \frac{1}{a*(a+3)}
    • Автор:

      cruzyu4e
    • 6 лет назад
    • 0
  • Добавить свой ответ

Войти через Google

или

Забыли пароль?

У меня нет аккаунта, я хочу Зарегистрироваться

How much to ban the user?
1 hour 1 day 100 years