• ПОМОГИТЕ ПОЖАЛУЙСТА С НОМЕРАМИ !!!!!ДАЮ 36 БАЛЛОВ!!!!! условие найти область определения

    question img
    question img

Ответы 3

  • -> Hote: thanks!..
    • Автор:

      gertrudis
    • 6 лет назад
    • 0
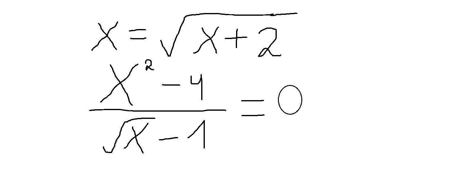
  • Тут вряд ли подойдёт понятие области определения, ибо первые два - уравнения...1) x≥0, так как левая часть не может быть отрицательной из-за того, что в правой находится радикал, то есть неотрицательное значение.2) х∈[0;1)∪(1;+oo), корень уравнения - число "два".3) х∈[0;9)∪(9;+oo), так как в знаменателе не должен быть ноль.
    • Автор:

      price
    • 6 лет назад
    • 0
  • x=√(x+2){x≥0{x+2≥0⇒x≥-2x∈∈[0;∞∞)(x²-4)/(√x-1)=0{x≥0{√x-1≠0⇒√x≠1⇒x≠1x∈[0;1) U (1;∞)(x²-1)/(√x-3){x≥0{√x-3≠0⇒√x≠3⇒x≠9x∈[0;9) U (9;∞)
    • Автор:

      buffalo
    • 6 лет назад
    • 0
  • Добавить свой ответ

Войти через Google

или

Забыли пароль?

У меня нет аккаунта, я хочу Зарегистрироваться

How much to ban the user?
1 hour 1 day 100 years