• ПОЖАЛУЙСТА!!!ПОМОГИТЕ С МОДУЛЬНЫМИ НЕРАВЕНСТВАМИ!!!!

    question img
    question img

Ответы 5

  • в первом неравенстве случай 3)x>3 ошибка!!! на ответ, правда, не повлияла, но все же...
    • Автор:

      aurora
    • 6 лет назад
    • 0
  • можете поподробнее
    • Автор:

      devonl74p
    • 6 лет назад
    • 0
  • пожалуйста мне очень нужно
  • 2х ≤ 6 (должно быть...) х ≤ 3 --не уд.условию)))
    • Автор:

      charity
    • 6 лет назад
    • 0
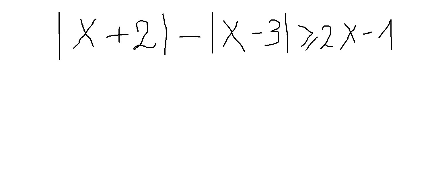
  • |x+2|-|x-3|≥2x-11)x≤-2-x-2+x-3≥2x-12x≤-5+12x≤-4x≤-22)-2<x≤3x+2+x-3≥2x-12x-2x≥-1+10≥03)x>3x+2-x+3≥2x-12x≤-1+12x≤0x≤0 не удов услx∈(-∞;3]|x-3|+2>0|x-3|>-2x∈(-∞;∞)|x-1|+|x-3|<x+1x<1-x+1-x+3<x+1x+2x>4-13x>3x>1 не удов усл2)1≤x≤3x-1-x+3<x+1x>2-1x>13)x>3x-1+x-3<x+12x-x<1+4x<5x∈(1;5)
    • Автор:

      lukeaskp
    • 6 лет назад
    • 0
  • Добавить свой ответ

Войти через Google

или

Забыли пароль?

У меня нет аккаунта, я хочу Зарегистрироваться

How much to ban the user?
1 hour 1 day 100 years