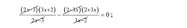
• Объясните, пожалуйста, каким образом здесь сократили дроби?

    question img

Ответы 3

  • Но и не забываем вынести минус.
  • Спасибо огромное!))
    • Автор:

      rosyburch
    • 6 лет назад
    • 0
  • Посмотри объяснение в приложении.
    answer img
    • Автор:

      dania79
    • 6 лет назад
    • 0
  • Добавить свой ответ

Войти через Google

или

Забыли пароль?

У меня нет аккаунта, я хочу Зарегистрироваться

How much to ban the user?
1 hour 1 day 100 years