• помогите пожалуйста с алгеброй,я в ней не разбираюсь(((

    question img

Ответы 1

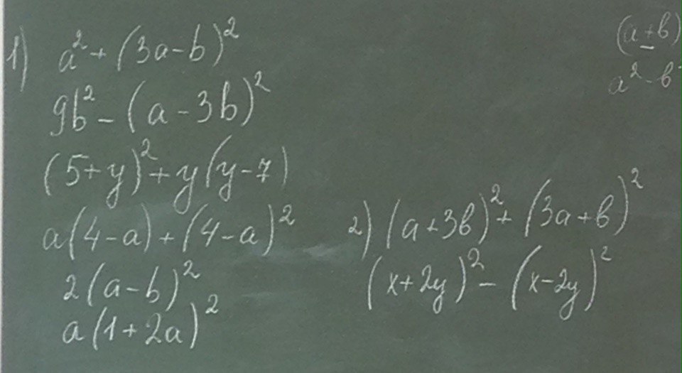
  • 1) a^2+9a^2-6ab+b^2=10a^2-6ab+b^2 9b^2-a^2+6ab-9b^2=6ab-a^2 25+10y+y^2+y^2-7y=2y^2+3y+25 4a-a^2+16-8a+a^2=16-4a=4 (4-a) 2a^2-4ab+2b^2 a+4a^2+4a^32)a^2+6ab+9b^2+9a^2+6ab+b^2=10a^2+12ab+18b^2=2 (5a^2+6ab+9b^2) x^2+4xy+4y^2-x^2+4xy-4y^2=8xy
    • Автор:

      dingo7uga
    • 6 лет назад
    • 0
  • Добавить свой ответ

Войти через Google

или

Забыли пароль?

У меня нет аккаунта, я хочу Зарегистрироваться

How much to ban the user?
1 hour 1 day 100 years