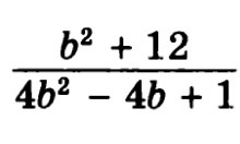
• Установите, при каких значениях переменной алгебраическая дробь имеет смысл:

    question img

Ответы 2

  • \\4b^2-4b+1ot=0\\
(2b-1)^2ot=0\\
bot=\frac{1}{2}\\
b\in\mathbb{R}\setminus\{\frac{1}{2}\}
    • Автор:

      lucky3ztu
    • 5 лет назад
    • 0
  • \cfrac{b^2+1}{4b^2-4b+1}=\cfrac{b^2+1}{(2b+1)^2}\\(2b+1)^2eq 0\\beq-\cfrac{1}{2}\\b\in (-\infty;\cfrac{1}{2})\cup (\cfrac{1}{2};+\infty)
    • Автор:

      davispgub
    • 5 лет назад
    • 0
  • Добавить свой ответ

Войти через Google

или

Забыли пароль?

У меня нет аккаунта, я хочу Зарегистрироваться

How much to ban the user?
1 hour 1 day 100 years