• НАЙДИТЕ ОБЛАСТЬ ОПРЕДЕЛЕНИЯ ФУНКЦИИ
    УМОЛЯЯЮ ПОМОГИТЕ ПОЖАЛУЙСТАА

    question img

Ответы 1

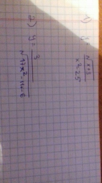
  • Подкоренное выражение - число неотрицательное, знаменатель не равен нулю.1) y = [√(x + 3)]/(x² - 25)x + 3 ≥ 0x ≥ -3 x² - 25 ≠ 0x² ≠ 25x ≠ -5; 5 Ответ: D(y) = [-3; 5) U (5; +∞).2) y = 3/[√(17x² - 11x - 6)]17x² - 11x - 6 > 017x² - 11x - 6 = 0D = 121 + 6·17·4 = 529 = 23²x₁ = (11 + 23)/34 = 34/34 = 1x₂ = (11 - 23)/34 = -12/34 = -6/1717x² - 11x - 6 = 17(x - 1)(x + 6/17) (x + 6/17)(x - 1) > 0||||+|||||||-6/17         -           1||||||||||+|||||||||||||----------0------------------------0-------------------> xОтвет: D(y) = (-∞; -6/17) U (1; +∞). 
  • Добавить свой ответ

Войти через Google

или

Забыли пароль?

У меня нет аккаунта, я хочу Зарегистрироваться

How much to ban the user?
1 hour 1 day 100 years