• помогите срочно решить заранее спасибо, полный развёрнутый ответ по действиям

    question img

Ответы 6

  • я ответил на вопрос?
    • Автор:

      carly7iaq
    • 6 лет назад
    • 0
  • угу
    • Автор:

      phoenix27
    • 6 лет назад
    • 0
  • аа все спасибо
    • Автор:

      angelrfp0
    • 6 лет назад
    • 0
  • дошло
  • ))
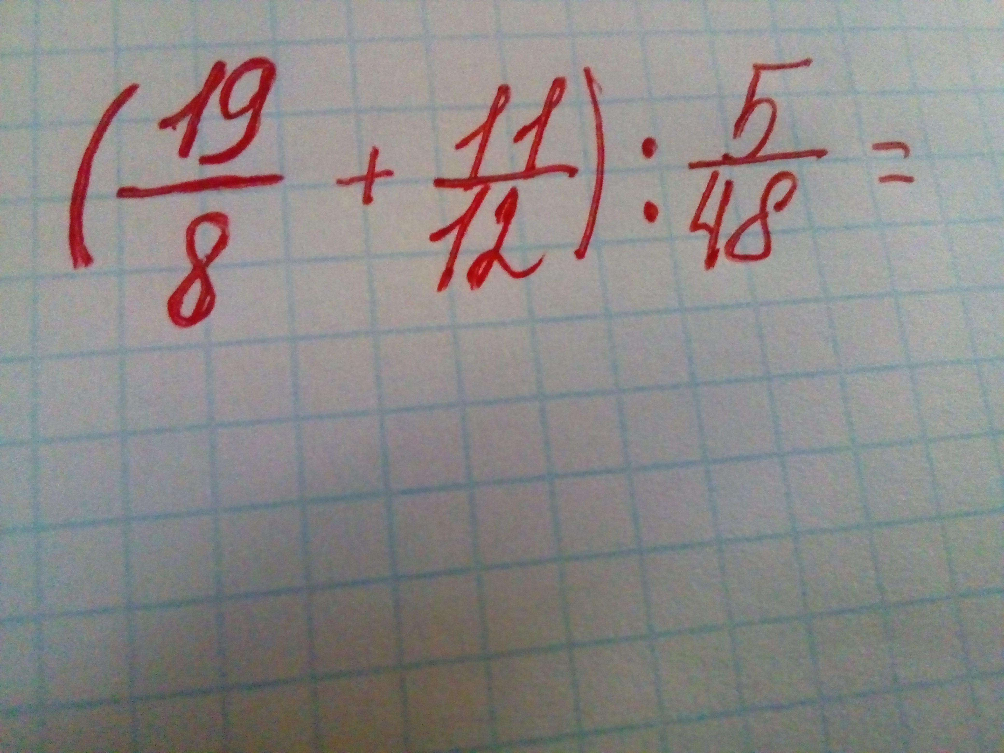
  • (57/24+22/24):5/48 = 79/24*48/5 = 79/1*2/5 = 158/5 = 31.6
    • Автор:

      eifel
    • 6 лет назад
    • 0
  • Добавить свой ответ

Войти через Google

или

Забыли пароль?

У меня нет аккаунта, я хочу Зарегистрироваться

How much to ban the user?
1 hour 1 day 100 years