• Указать порядок выполнения действия и вычислить решите по действиям пж срочно даю 17 баллов

    question img

Ответы 3

  • откуда ты взял 3/5
  • Во втором слагаемом 15*(3/5).
    • Автор:

      rabbit
    • 5 лет назад
    • 0
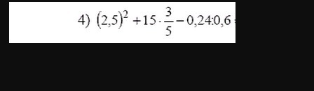
  • 1) (2,5)²=6,252) 15*(3/5)=93) 0,24:0,6=0,44) 6,25+9-0,4=14,85.
  • Добавить свой ответ

Войти через Google

или

Забыли пароль?

У меня нет аккаунта, я хочу Зарегистрироваться

How much to ban the user?
1 hour 1 day 100 years