• СРОЧНО!!!
    С решением на листке.
    Дам 30 баллов.

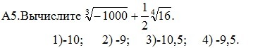
    question img

Ответы 2

  • Спасибо!!!
  •  \sqrt[3]{-1000} +1/2 \sqrt[4]{16} =-10+1/2*2=-10+1=-9Ответ 2)-9
    • Автор:

      corkyrpvz
    • 6 лет назад
    • 0
  • Добавить свой ответ

Еще вопросы

Войти через Google

или

Забыли пароль?

У меня нет аккаунта, я хочу Зарегистрироваться

How much to ban the user?
1 hour 1 day 100 years