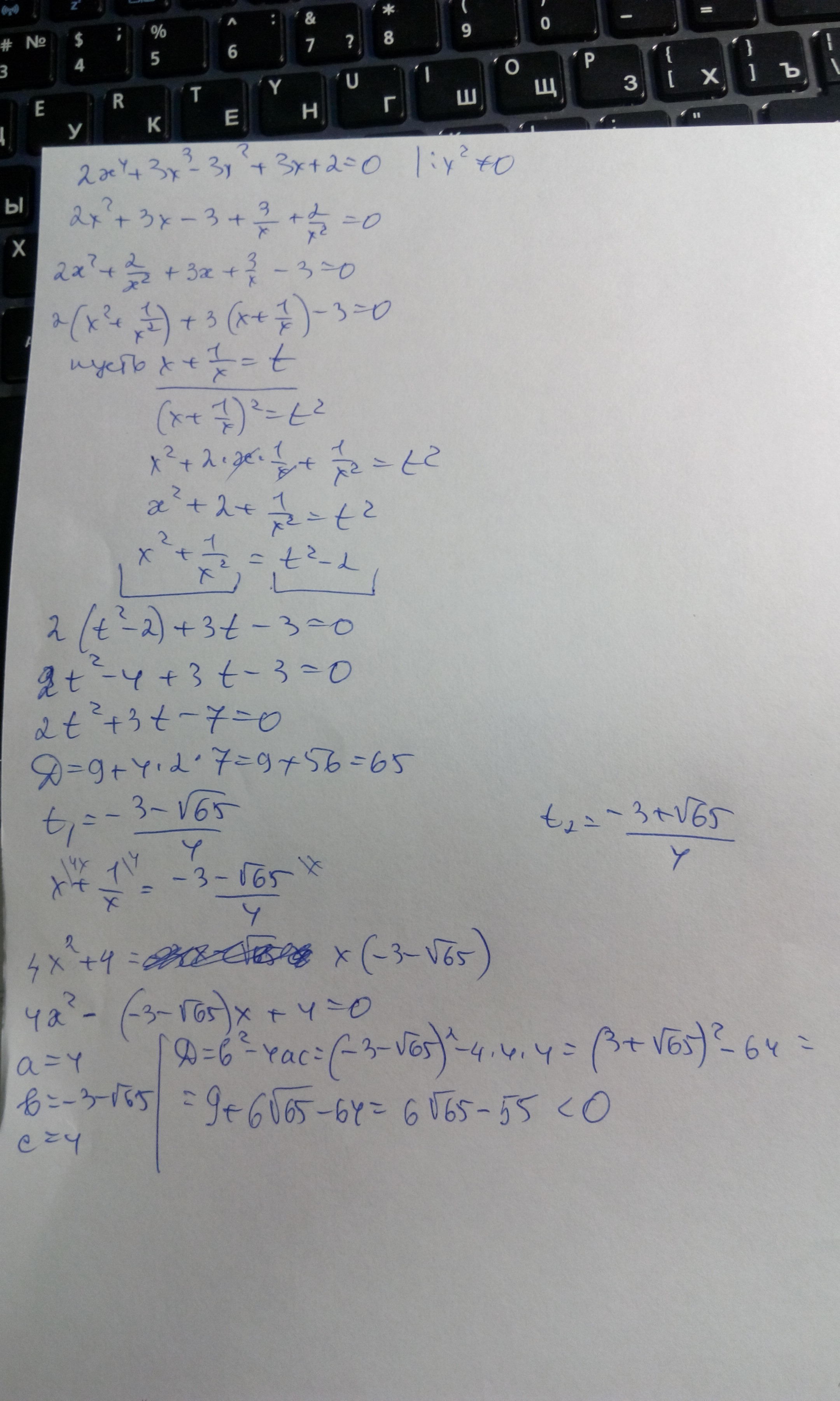
• Решите ,пожалуйста, с объяснением симметрическое уравнение.Начала делать.Что не так ?(См. на 2-ом фото).

    question img
    question img

Ответы 4

  • Спасибо вам огромное!
    • Автор:

      elisajjvr
    • 6 лет назад
    • 0
  • Всё равно не то
    • Автор:

      tough guy
    • 6 лет назад
    • 0
  • Все верно)
  • В последнем строке, когда возводили квадрат (3+V65)^2 потеряли ( V65)^2=65.С ним получается 10+6V65.
    • Автор:

      hawk7ybd
    • 6 лет назад
    • 0
  • Добавить свой ответ

Еще вопросы

Войти через Google

или

Забыли пароль?

У меня нет аккаунта, я хочу Зарегистрироваться

How much to ban the user?
1 hour 1 day 100 years