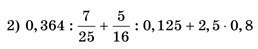
• Помогите решить пример по алгебре (9 класс) [МОЖНО С ФОТО РЕШЕНИЯ ПОЖАЛУЙСТА?]

    question img

Ответы 3

  • спасибо, AnnyB8888)
    • Автор:

      lillian25
    • 6 лет назад
    • 0
  • Не за что)))
    • Автор:

      emily85
    • 6 лет назад
    • 0
  • Надеюсь разборчиво, а то начиркала тут
    answer img
  • Добавить свой ответ

Войти через Google

или

Забыли пароль?

У меня нет аккаунта, я хочу Зарегистрироваться

How much to ban the user?
1 hour 1 day 100 years