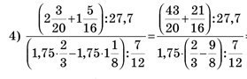
• Помогите решить пример по алгебре. Даю 100 баллов. [9 КЛ]

    question img

Ответы 1

  • Решение задания во вложении. 
    answer img
  • Добавить свой ответ

Еще вопросы

Войти через Google

или

Забыли пароль?

У меня нет аккаунта, я хочу Зарегистрироваться

How much to ban the user?
1 hour 1 day 100 years