• решите с пояснением
    пожалуйста.
    Плиз помогите плиз плиз

    question img

Ответы 1

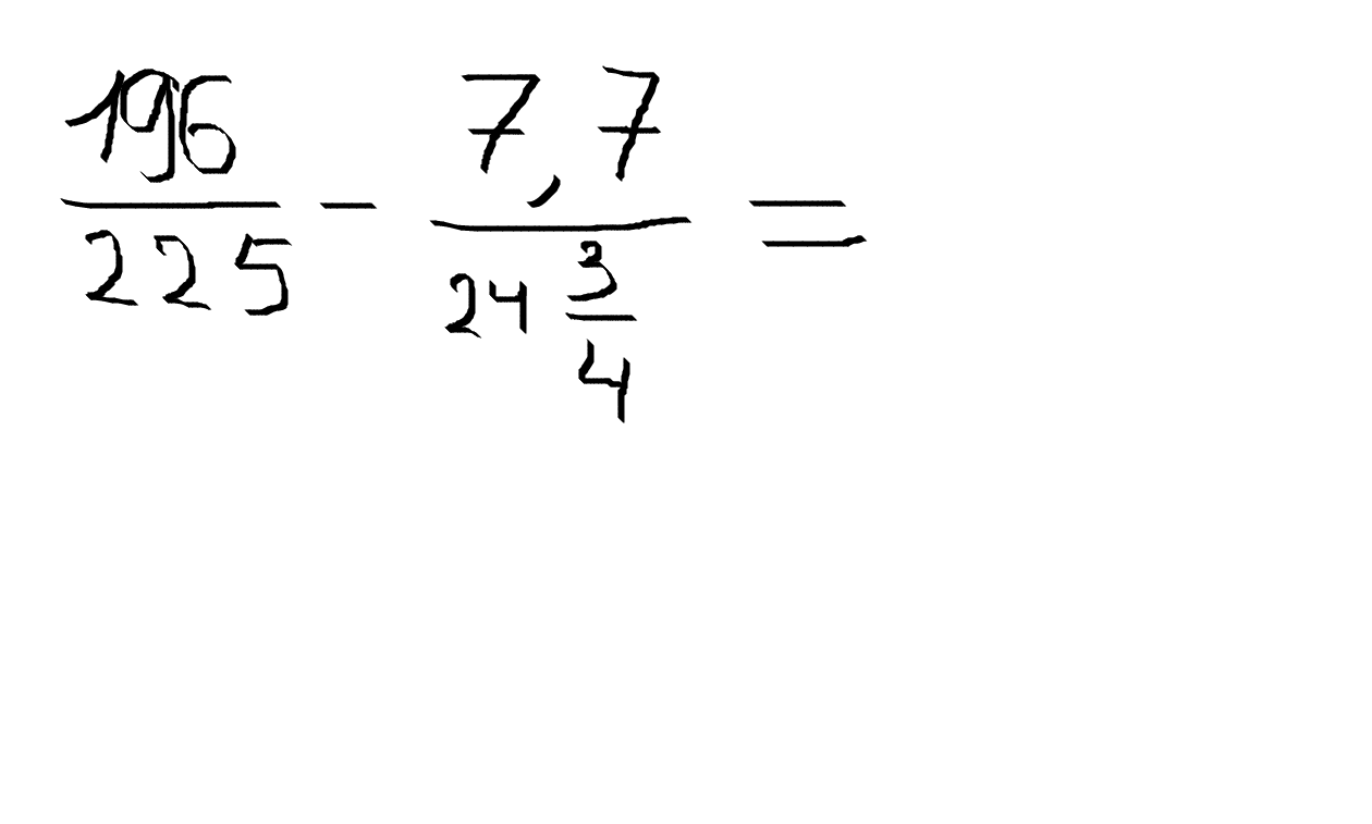
  • 196/225-(77/10)/(99/4)=196/225-77/10*4/99=196/225-11/5*2/9=196/225-22/45=196/225-110/225=(196-110)/225=85/225=17/45
    • Автор:

      valerie
    • 6 лет назад
    • 0
  • Добавить свой ответ

Войти через Google

или

Забыли пароль?

У меня нет аккаунта, я хочу Зарегистрироваться

How much to ban the user?
1 hour 1 day 100 years