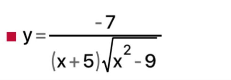
• ДАЮ 50 БАЛЛОВ, срочно!!!!Найдите область определения. Поподробнее решите, пожалуйста

    question img

Ответы 2

  • Спасибо долбаеб
    • Автор:

      frida
    • 6 лет назад
    • 0
  • //////////////////////////////////////////////////////
    answer img
  • Добавить свой ответ

Войти через Google

или

Забыли пароль?

У меня нет аккаунта, я хочу Зарегистрироваться

How much to ban the user?
1 hour 1 day 100 years