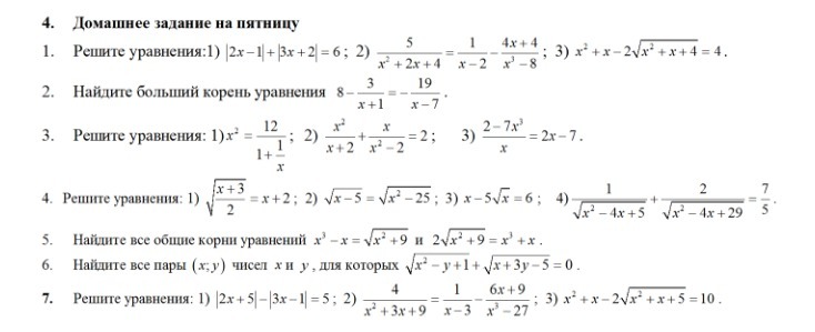
• ребят помогите ! очень нужно, можете объяснить как все это решать?

    question img

Ответы 1

  • В 1 - ставь ограничение на x и раскрывай модуль, потом решай как обычное уравнение, не забудь ОДЗ написать, т.к у тебя есть знаменатель.2 решай по пропорции, и дальше переноси всё в одну сторону.И так все по аналогии, но 3 в первом задании надо сначала на корень ОДЗ написать, и потом собрать в (*)^2 это квадратное уравнение, и обязательно поставить модуль.
  • Добавить свой ответ

Войти через Google

или

Забыли пароль?

У меня нет аккаунта, я хочу Зарегистрироваться

How much to ban the user?
1 hour 1 day 100 years