• помогите пж не могу решить что то не получается у меня

    question img

Ответы 4

  • cgc
    • Автор:

      oscarszin
    • 6 лет назад
    • 0
  • спс
    • Автор:

      paolav628
    • 6 лет назад
    • 0
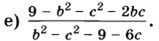
  • (9 - b² - c² - 2bc)/(b² - c² - 9 - 6c) = [9 - (b² + 2bc + c²)]/(b² - (c² + 6c + 9)] = [3² - (b + c)²]/[b² - (c + 3)²] = (3 - b - c)(3 + b + c)/(b - c - 3)(b + c + 3) =(3 - b - c)/(b - c - 3) 
    • Автор:

      yandel
    • 6 лет назад
    • 0
  •  \frac{9-b^2-c^2-2bc}{b^2-c^2-9-6c} = \frac{9-(b^2+2bc+c^2)}{b^2-(c^2+6c+9)} =\frac{9-(b+c)^2}{b^2-(c+3)^2} =\frac{(3-(b+c))(3+(b+c))}{(b-(c+3))(b+(c+3))}= \\ =\frac{(3-b-c))(3+b+c)}{(b-c-3)(b+c+3)}=\frac{3-b-c}{b-c-3}
  • Добавить свой ответ

Войти через Google

или

Забыли пароль?

У меня нет аккаунта, я хочу Зарегистрироваться

How much to ban the user?
1 hour 1 day 100 years