• Скажите мне название каждой формулы.
    Формулы сокращенного умножения

    question img

Ответы 2

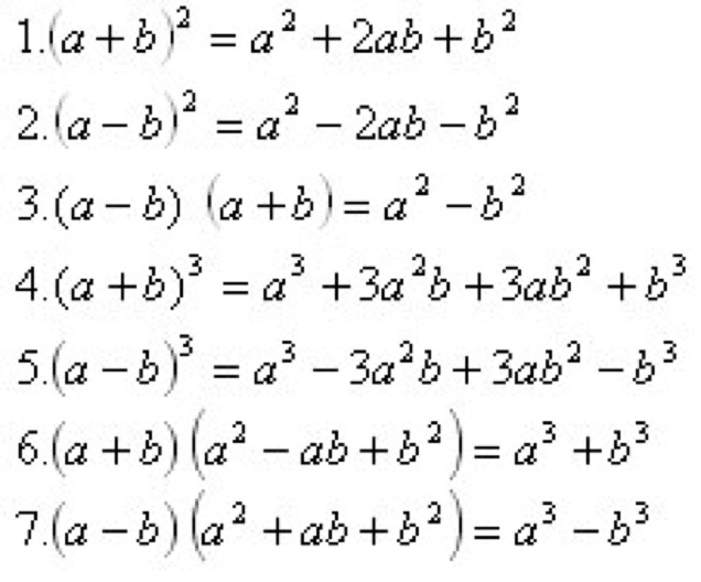
  • 1. Квадрат суммы2. Квадрат разности3. Разность квадратов4. Куб суммы5. Куб разности6. Сумма кубов7. Разность кубов
  • 1.Квадрат суммы 2.Квадрат разности3.Разность квадратов 4.Куб суммы5.Куб разности 6.Сумма кубов 7.Разность кубов
    • Автор:

      lance
    • 6 лет назад
    • 0
  • Добавить свой ответ

Войти через Google

или

Забыли пароль?

У меня нет аккаунта, я хочу Зарегистрироваться

How much to ban the user?
1 hour 1 day 100 years