• lim [(n+1)(n+2)(n+3)/n^3] n->к беск.
    Вычислить предел

Ответы 1

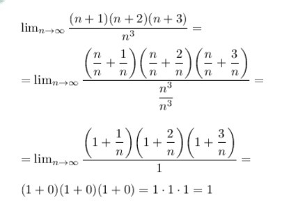
  • \lim_{n \to \infty} \dfrac{(n + 1)(n + 2)(n + 3)}{n^3} = \\ \\ = \lim_{n \to \infty} \dfrac{\bigg ( \dfrac{n}{n} + \dfrac{1}{n} \bigg ) \bigg ( \dfrac{n}{n} + \dfrac{2}{n} \bigg ) \bigg( \dfrac{n}{n} + \dfrac{3}{n} \bigg ) }{ \dfrac{n^3}{n^3} } = \\ \\ \\ = \lim_{n \to \infty} \dfrac{\bigg (1 + \dfrac{1}{n} \bigg ) \bigg (1 + \dfrac{2}{n} \bigg )\bigg (1 + \dfrac{3}{n} \bigg )}{1} = \\ \\ (1 + 0)(1 + 0)(1 + 0) = 1 \cdot 1 \cdot 1 = 1
    answer img
  • Добавить свой ответ

Войти через Google

или

Забыли пароль?

У меня нет аккаунта, я хочу Зарегистрироваться

How much to ban the user?
1 hour 1 day 100 years