• высчитать, обсчитать, вычислить, посчитать,хз как на русском плес шоб понятно было а то мне нет

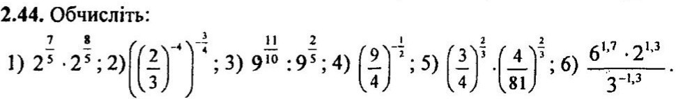
    question img

Ответы 6

  • во втором ошибка
  • Второй номер на втором фото, обновите страницу
  • в приложении на телефоне нет кнопки обновить и само оно не обновляется
  • Но спасибо
  • тупое приложение
  • !!!!!!!!!!!!!!!!!!!!!!
    answer img
    • Автор:

      homeritfk
    • 6 лет назад
    • 0
  • Добавить свой ответ

Еще вопросы

Войти через Google

или

Забыли пароль?

У меня нет аккаунта, я хочу Зарегистрироваться

How much to ban the user?
1 hour 1 day 100 years