• Производная сложной функции. Помогите, пожалуйста! СРОЧНО
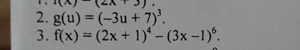
    3 НОМЕР

    question img

Ответы 5

  • спасибо за решение, но вторая часть ответа немного друга там 18(3х-1)^5. вы не могли бы объяснить, как там получается 18?
    • Автор:

      bandit67
    • 6 лет назад
    • 0
  • немного другая *
    • Автор:

      devon42
    • 6 лет назад
    • 0
  • производная от сложной функции ... сразу производная от степени (см. формулу) вперед получается 6, в степени остается 5, потом производная от выражения в скобках, получается 3... 3*6=18 и умножить на выражение в скобках в пятой степени
  • огромное Вам спасибо
    • Автор:

      major75
    • 6 лет назад
    • 0
  • y'(x)=4(2x+1)^{3}*2-6(3x-1)^{5}*3=8(2x+1)^{3}-18(3x-1)^{5}
    • Автор:

      oz
    • 6 лет назад
    • 0
  • Добавить свой ответ

Войти через Google

или

Забыли пароль?

У меня нет аккаунта, я хочу Зарегистрироваться

How much to ban the user?
1 hour 1 day 100 years