• Прошу умоляю помогите эта сделать я чесно непонииаю как это сделать

    question img

Ответы 1

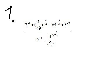
  • Тут все просто , самое главное понимать , что когда мы имеем отрицательную степень ,то (целое) число уходит в знаменатель а в числителе остается единица или наоборот из знаменателя в числитель ( Например 7^-1=1/7).Преобразуем числитель :(7^-1)•((1/49)^-1/2)-(64^-1/3)•(3^-2)=1/7•49^1/2-1/64^1/3•1/3^2(^ после этого значка число -степень) как мы знаем степень 1/2 это корень , а 1/3 это тройной корень (64^1/3 это 4 , тк 64 = 4³ (³√4³ =64^1/3)) в итоге числитель превращается в 1/7•7-4•1/9=1-4/9=5/9Теперь рассмотрим знаменатель:(5^-1)-(1/9^-1/2) тут вс также =1/5-3=-14/5В итоге получаем:-(5/9•5/14)=-(25/126) если что то не понятно то уже пишите в личные сообщения
    • Автор:

      lilah
    • 6 лет назад
    • 0
  • Добавить свой ответ

Войти через Google

или

Забыли пароль?

У меня нет аккаунта, я хочу Зарегистрироваться

How much to ban the user?
1 hour 1 day 100 years