• помогите решить
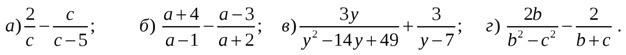
    А3. Выполните действия:




    question img

Ответы 1

  • 2/c-c/c-5=2/c(c-5)-c/c-5=2c-10/c-c*c/c-5=2c-10-cv2/c(c-5)
    • Автор:

      amy
    • 6 лет назад
    • 0
  • Добавить свой ответ

Еще вопросы

Войти через Google

или

Забыли пароль?

У меня нет аккаунта, я хочу Зарегистрироваться

How much to ban the user?
1 hour 1 day 100 years