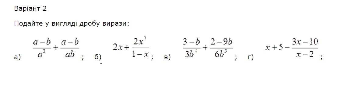
• Помогите решить пж СРОЧНО!!! 40 БАЛЛОВ за задания с 8 класса

    question img

Ответы 9

  • А можешь помочь с более сложными?
    • Автор:

      bumpkin
    • 6 лет назад
    • 0
  • в не правильно :(
  • а тоже
  • Ничего не поняла из того, что ты скачала сейчас. Попробую перерешать в
    • Автор:

      foxsuws
    • 6 лет назад
    • 0
  • Все. Так вроде правильно
    • Автор:

      miahrvgp
    • 6 лет назад
    • 0
  • Как так? Я не вижу никаких изображений
    • Автор:

      ava55
    • 6 лет назад
    • 0
  • Я к ответу добавила
    • Автор:

      canorc1a
    • 6 лет назад
    • 0
  • А зачем ты скоротила перед тем как открыть скобки? Просто раскрой скобки и всё :)
  • Держи!! Надеюсь все понятно)
    answer img
    • Автор:

      isaiah28
    • 6 лет назад
    • 0
  • Добавить свой ответ

Войти через Google

или

Забыли пароль?

У меня нет аккаунта, я хочу Зарегистрироваться

How much to ban the user?
1 hour 1 day 100 years