• Срочно!!! Помогите с решением,пожалуйста! Сложение,вычитание и сокращение дроби
    отдам 25 баллов!

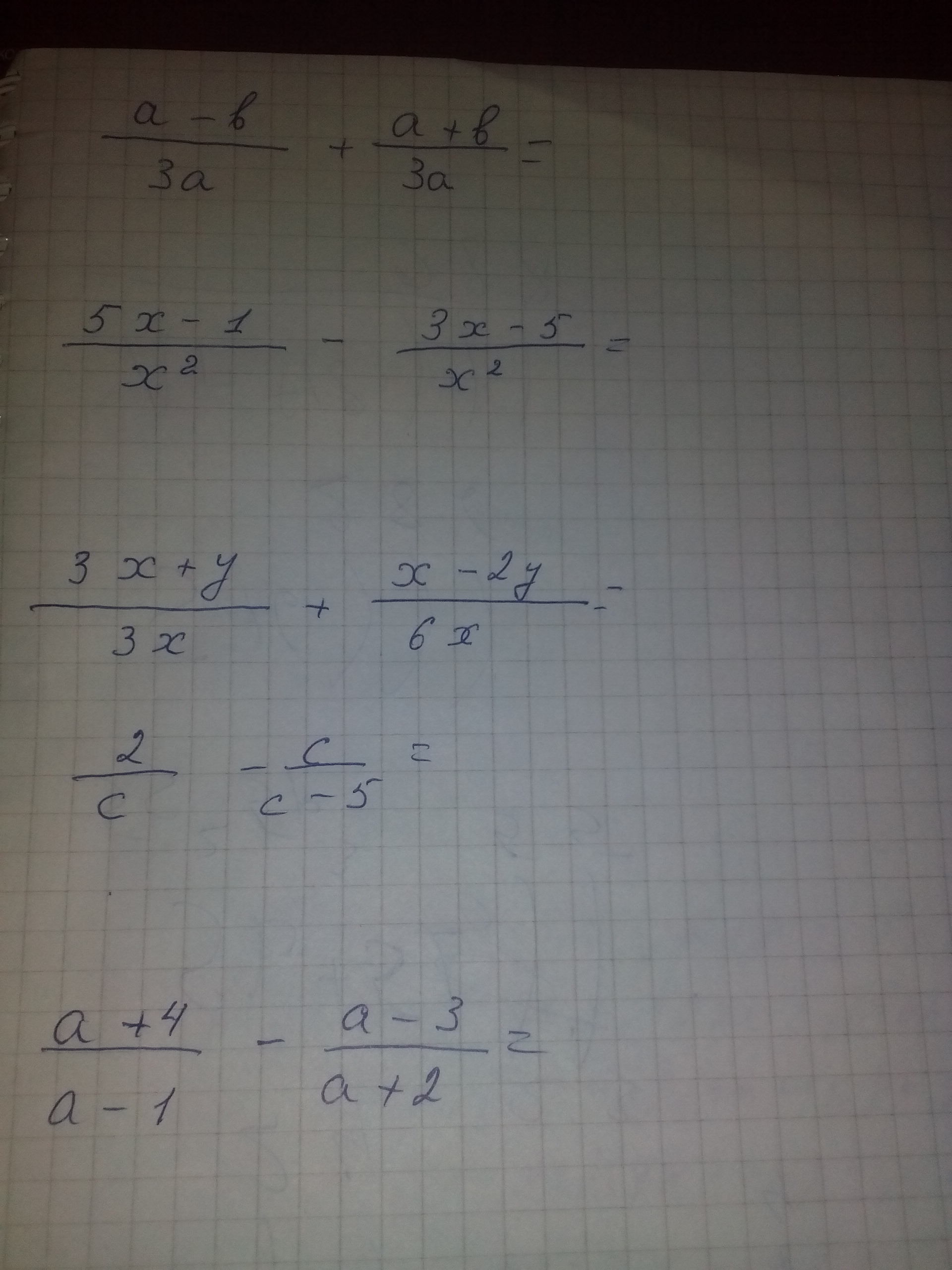
    question img

Ответы 3

  • Спасибо огромное!!!!
  • Точно незнаю я5класс 1)6а2)4а3)9а4)3с5)7а фиг знает
    • Автор:

      duffy90
    • 6 лет назад
    • 0
  • вооооооооооооооооооооооот
    answer img
    • Автор:

      ocean
    • 6 лет назад
    • 0
  • Добавить свой ответ

Еще вопросы

Войти через Google

или

Забыли пароль?

У меня нет аккаунта, я хочу Зарегистрироваться

How much to ban the user?
1 hour 1 day 100 years