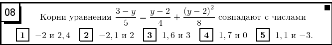
• Помогите решить уравнение и найти его корни 3 - y/5 = y-2/4 + (y-2)^2/8

    question img

Ответы 3

  • Спасибо!!
    • Автор:

      lino
    • 6 лет назад
    • 0
  • Спасибо!
    • Автор:

      shea
    • 6 лет назад
    • 0
  • 1. -2и 2.4 100000000%
    • Автор:

      cortez
    • 6 лет назад
    • 0
  • Добавить свой ответ

Войти через Google

или

Забыли пароль?

У меня нет аккаунта, я хочу Зарегистрироваться

How much to ban the user?
1 hour 1 day 100 years