• ПОМОГИТЕ РЕШИЬ 2 ПРИМЕРА ПО АЛГЕБРЕ, БУДУ БЛАГОДАРНА ОЧЕНЬ

    question img

Ответы 1

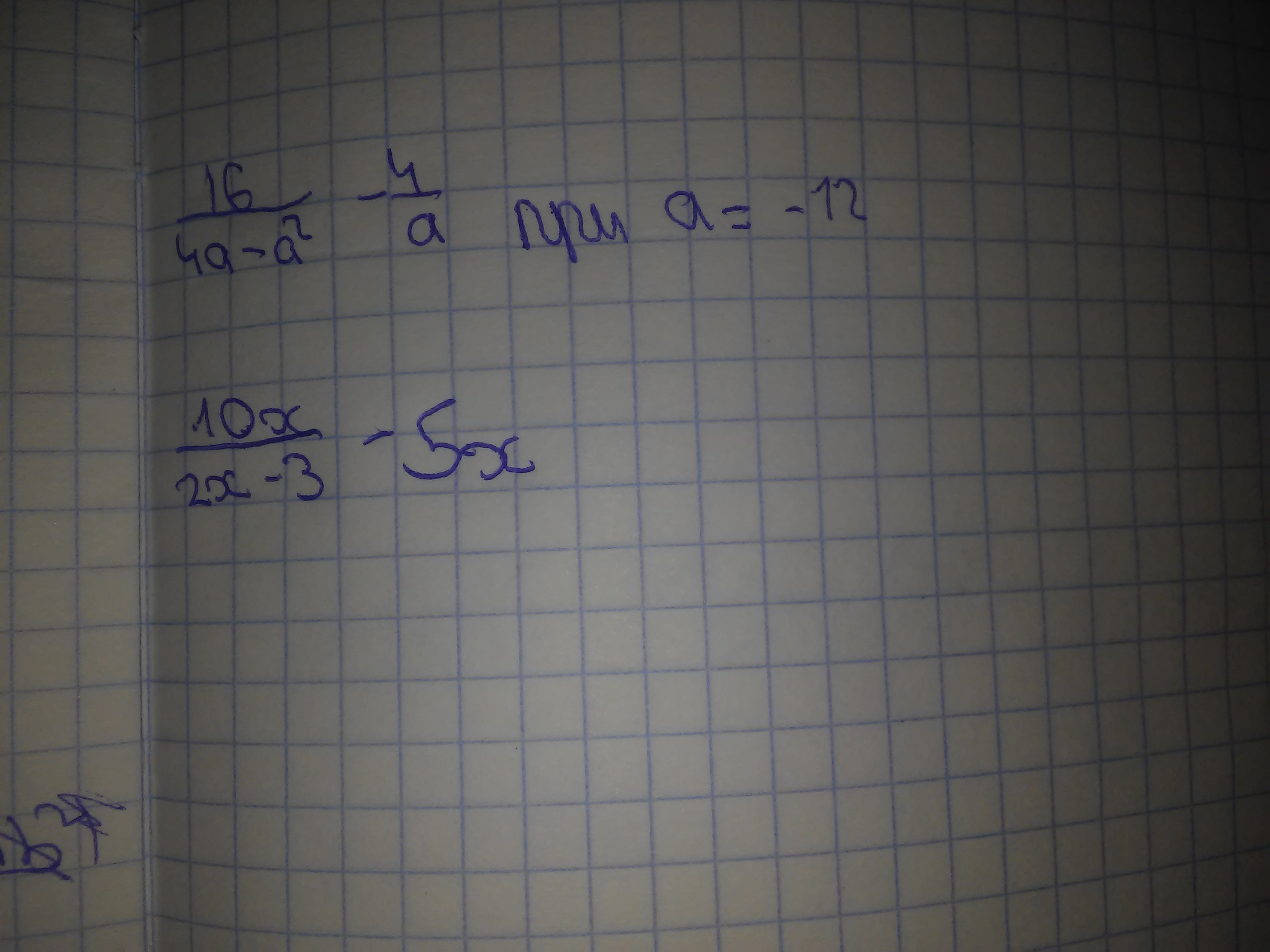
  • 16/a(4-a)-4/a= (16-4*(4-a))/a(4-a)=4a/a(4-a)=4/(4-a)=4/16=1/4[10x-5x(2x-3)]/(2x-3)=[-10x²+25x]/(2x-3)=5x(5-2x)/(2x-3)
    • Автор:

      julianna
    • 6 лет назад
    • 0
  • Добавить свой ответ

Войти через Google

или

Забыли пароль?

У меня нет аккаунта, я хочу Зарегистрироваться

How much to ban the user?
1 hour 1 day 100 years