• Пожалуйста помогите, кто нибудь, нужно очень срочно, от благодарю вас оценкой, отмечу как лучший ответ, помогите

    question img

Ответы 1

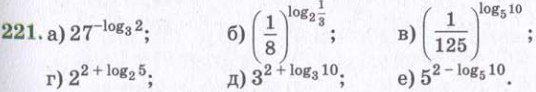
  • a) 27^(-log3(2)) = 3^(log3(1/8) = 1/8б) (1/8)^(log2(1/3)) = (2^(-3))^(log2(1/3)) = 2^(log2(27)) = 27в) (1/125)^(log5(10)) = 5^(log5(1/1000)) = 0, 001г) 2^(2+log2(5)) = 2² * 2^(log2(5)) = 4 *5 = 20д) 3^(2+ log3(10)) = 3² * 3^(log3(10)) = 9 * 10 = 90е) 5^(2 - log5(10)) = 5² * 5^(- log5(10)) = 25 * 0,1 = 2,5
    • Автор:

      taylor14
    • 6 лет назад
    • 0
  • Добавить свой ответ

Войти через Google

или

Забыли пароль?

У меня нет аккаунта, я хочу Зарегистрироваться

How much to ban the user?
1 hour 1 day 100 years