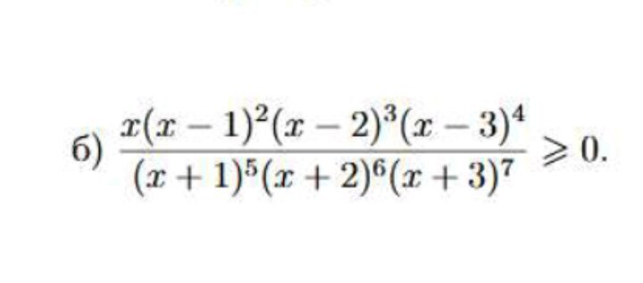
• Нужно решить этот пример подробно,при этом указать про условия четных степеней и решить методом интервалом
    Даю 40 баллов

    question img

Ответы 2

  • а что со степенями нечетными?
  •  \dfrac{x(x-1)^2(x-2)^3(x-3)^4}{(x+1)^5(x+2)^6(x+3)^7}  \geq 0__+__(-3)__-__(-2)__-__(-1)__+__0__-__1__-__2__+__3__+__Ответ: x∈(-∞;-3)U(-1;0]U[1]U[2;+∞)
    • Автор:

      bob40
    • 6 лет назад
    • 0
  • Добавить свой ответ

Войти через Google

или

Забыли пароль?

У меня нет аккаунта, я хочу Зарегистрироваться

How much to ban the user?
1 hour 1 day 100 years