• А)Найдите область определения функции.
    В)Найдите область значения функции.

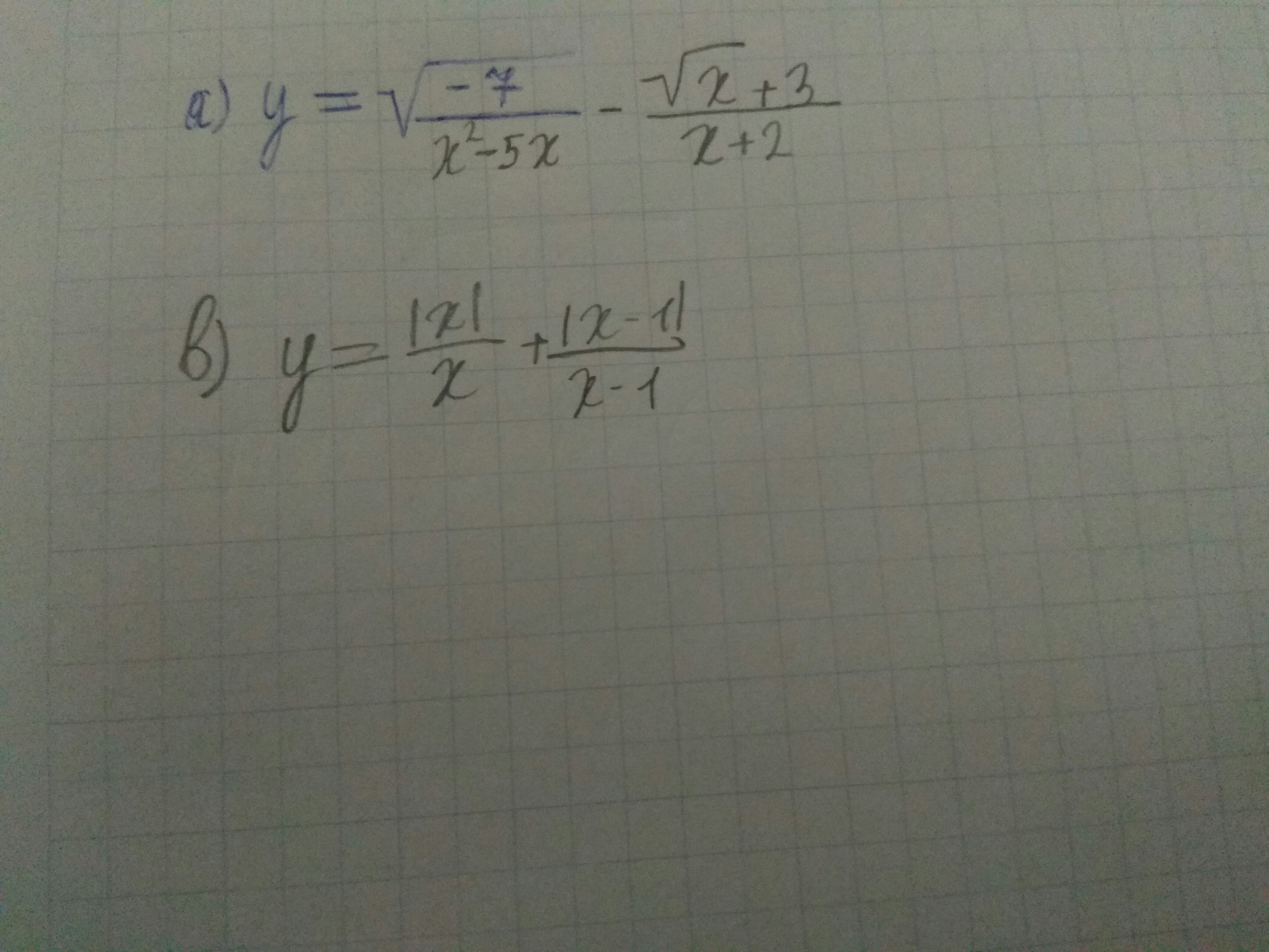
    question img

Ответы 1

  • а) Подкоренное выражение - число неотрицательное, знаменатель не равен нулю. Решаем систему из неравенств:-7/(x² - 5x) ≥ 0x ≥ 0x + 2 ≠ 07/(x² - 5x) ≤ 0x ≥ 0x ≠ -2В первом неравенстве числитель не влияет на решение, поэтому опускаем его и меняем нестрогий знак на строгий:x² - 5x < 0x ≥ 0x ≠ -2x(x - 5) < 0x ≥ 0x ≠ -2                                          ||||||||||||||||||||||||||||||||||||||||||||||||||-----------(-2)------------------(0)----------------------------------(5)----------> x                                         |||||||||||||||||||||||||||||||||||||||||||||||||||||||||||||||||||||||Пересечение неравенств является решением системы:x ∈ (0; 5). Ответ: D(y) = (0; 5).в) y = |x|/x +  |x - 1|/(x - 1) Нули подмодульных выражений:x = 0; x = 1x              -                        +                                +----------------------[0]---------------------[1]---------------------------> xx - 1         -                        -                                 +1) x ∈ (-∞; 0]y = -x/x - (x - 1)/(x - 1) =  -1 - 1 = -22) x ∈ [0; 1]y = x/x - (x - 1)/(x - 1) = 1 - 1 = 03) x ∈ [1; +∞)y = x/x + (x - 1)/(x - 1) = 1 + 1 = 2 Ответ: E(y) = {-2; 0; 2}
    • Автор:

      hankqa0b
    • 6 лет назад
    • 0
  • Добавить свой ответ

Войти через Google

или

Забыли пароль?

У меня нет аккаунта, я хочу Зарегистрироваться

How much to ban the user?
1 hour 1 day 100 years