• помогите решить 3 и 5 задание,и 5sin(a)+2cos(a)-5/3sin(a)+3cos(a)-6=2/3 можете написать полное решение к каждому из примеров

    question img

Ответы 6

  • Что надо сделать, решить уравнение?
    • Автор:

      lee
    • 6 лет назад
    • 0
  • найти тангенс
  • нужно найти тангес а
    • Автор:

      tarzan
    • 6 лет назад
    • 0
  • 5sin(a)+2cos(a)-4/3sin(a)+3cos(a)-6=2/3
    • Автор:

      codi4sfs
    • 6 лет назад
    • 0
  • вот
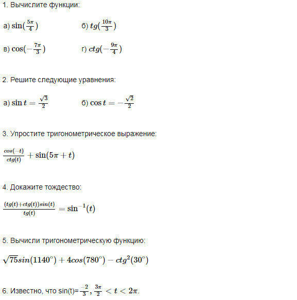
  • 3) (Cos(-t)) / ctgt + Sin (5П+t) = Cost / (Cost/Sint) + Sin(П + t) = = Sint - Sint = 05) √75Sin1140° + 4Cos(780°) - ctg²(30°) = √(25*3)Sin(360*3+60) ++ 4Cos(360*2+ 60) - (√3)² = 5√3 * Sin60° + 4Cos60° - 3= 5√3 * √3/2 +4*1/2 - - 3 = 15/2 + 2 - 3 = 7,5 - 1 = 6,5
  • Добавить свой ответ

Еще вопросы

Войти через Google

или

Забыли пароль?

У меня нет аккаунта, я хочу Зарегистрироваться

How much to ban the user?
1 hour 1 day 100 years