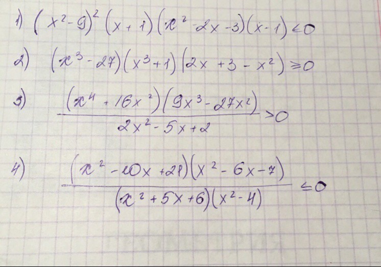
• ребят, помогите, пожалуйста, вообще никак не успеваю ): неравенств, собственно, несколько, но и баллами, как видите, не обижаю ❤️ кто сделает - лучшим отмечу сразу! только подробно нужно (:

    question img

Ответы 2

  • ...по методу интервалов
  • task/25798353--------------------см приложение---Удачи  Светлана !
    answer img
    • Автор:

      xavier51
    • 6 лет назад
    • 0
  • Добавить свой ответ

Войти через Google

или

Забыли пароль?

У меня нет аккаунта, я хочу Зарегистрироваться

How much to ban the user?
1 hour 1 day 100 years