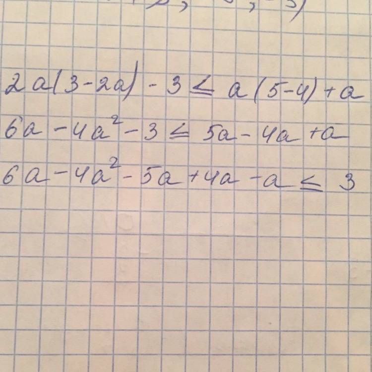
• Помогите решить ,пожалуйста
    И правильное ли начало?

    question img

Ответы 1

  • -4a²+4a-3≤0D=4²-4*(-4)*3=16+48=64√D=√64=8x1=4-8/8=-0.5x2=4+8=1.5[-0.5; 1.5]
    • Автор:

      pablo86
    • 6 лет назад
    • 0
  • Добавить свой ответ

Войти через Google

или

Забыли пароль?

У меня нет аккаунта, я хочу Зарегистрироваться

How much to ban the user?
1 hour 1 day 100 years