• Помогите решить показательное уравнение. (подробно)

    question img

Ответы 1

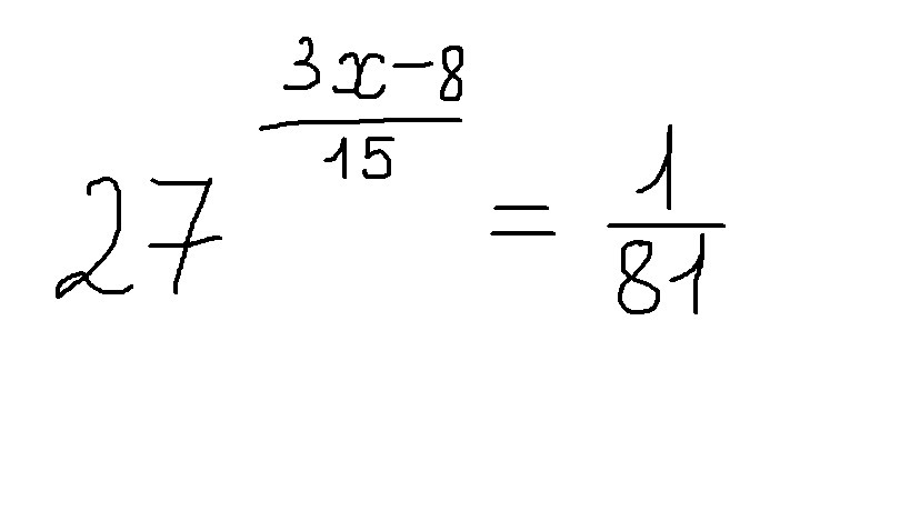
  • 27^{ \frac{3x-8}{15}}= \dfrac{1}{81} \\ 3^ {\frac{3x-8}{5}}=3^{-4} \\  \dfrac{3x-8}{5}=-4 \\ 3x-8=-20 \\ 3x=-12 \\ x=-4
    • Автор:

      conanzdql
    • 6 лет назад
    • 0
  • Добавить свой ответ

Еще вопросы

Войти через Google

или

Забыли пароль?

У меня нет аккаунта, я хочу Зарегистрироваться

How much to ban the user?
1 hour 1 day 100 years